The Daily Insight.

Connected.Informed.Engaged.

news

What is a financial policy of medical office

By Emily Sparks

A payment policy lets your patients know what you expect of them and what they can expect of you. A well-crafted policy will prevent patients from being surprised about their financial obligation when they receive your services.

What should be included in a medical financial policy?

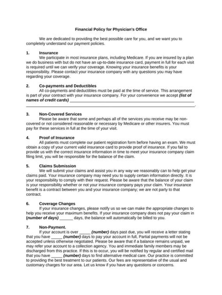
  • Co-pays and deductibles.
  • Insurance billing.
  • Referrals and pre-authorizations.
  • Patients without insurance (self-pay)
  • Missed appointments.
  • Returned or NSF checks.
  • Copies of Medical Records.
  • Payment plans and outstanding balances.

What is a medical office policy?

All well-written, comprehensive medical office policy manuals include procedures pertaining to patient communication and relations. These policies are essential to ensure appointments run on time and patients receive the information they need.

What is the purpose of a medical practice financial policy?

What is the purpose of a medical practice’s financial policy? To inform patients about the practice’s finacial policies, who is responsible for payments, etc. Usually when patients understand this, collecting payment(s) is not problematic.

What is a payment policy?

A payment policy helps you get paid on time. Knowing when to expect payments helps you plan for business expenses and investments. A bill payment plan also helps build customer loyalty and simplify the buying process.

Is a legal declaration of a person's inability to pay his or her debts?

bankruptcy, the status of a debtor who has been declared by judicial process to be unable to pay his debts.

Why is it important that medical offices have a well written payment collection policy?

Payment policy essentials A well-crafted policy will prevent patients from being surprised about their financial obligation when they receive your services. It will also give your practice some legal protection should a patient fail to pay what you are entitled to collect.

What is the fixed prepayment for each plan?

The fixed prepayment for each plan member in a capitation contract is called: the capitation rate… aka “cap rate”.

Why is it important to share the financial policies and information with patients?

Addressing a patient’s ability and willingness to pay for services upfront can go far towards a practice’s financial health. Making it more convenient makes it more likely your patients will pay quickly, if not on the spot. …

How do you create a medical policy?
  1. Appoint a Policy Decision Team. If you’re a small practice, this policy team might only consist of you and your fellow physicians – and that’s okay! …
  2. Research What You Need. …
  3. Organize your Topic Areas. …
  4. Make a List of Procedures. …
  5. Set up Job Descriptions. …
  6. Plan your Long Term Goals.
Article first time published on

What are some different office policies that a medical assistant would need to explain to a patient?

Some of the administrative matters that the patient information packet will explain include an introduction to the office and staff, the qualifications of the physician, a description of the practice, office hours, appointment scheduling, late or no-show fees for appointments, telephone policies, payment policies and …

What are examples of policies and procedures?

  • Code of conduct. A code of conduct is a common policy found in most businesses. …
  • Recruitment policy. …
  • Internet and email policy. …
  • Mobile phone policy. …
  • Smoking policy. …
  • Drug and alcohol policy. …
  • Health and safety policy. …
  • Anti-discrimination and harassment policy.

What is payment first policy?

Payment first policy are usually done when transacting online. … Usually, the seller will request for the full amount of payment before they ship or deliver the items to the buyer. It’s very convenient process for the seller because they can avoid transacting in bogus buyers but not very safe for buyers.

What are the three payment types?

  • Cash.
  • Checks.
  • Debit cards.
  • Credit cards.
  • Mobile payments.
  • Electronic bank transfers.

How is money maintained in a healthcare facility?

Cash management practices vary between healthcare organizations. Some collect payments from patients and clients in office and have a carrier who deposits the company’s earnings once a week. Others may invest in comprehensive cash management systems that enable them to collect payments and make deposits more often.

Why are upfront collections important?

What are up-front collections ? Why are they important to the practice ? These can be copayment so or coinsurance portions or deductibles . Important because it’s a large scale of the practices revenue.

How do you collect a patient's deductible?

  1. Patients are on deductibles in the beginning of the year. …
  2. Check with the insurance company before patient visit. …
  3. Tell patients upfront about the cost. …
  4. Collect deductibles at the time of service. …
  5. Make practice-wide policy of deductible collections.

When the company is unable to find a declaration regarding its ability to pay its debts and discharge or liabilities the winding up is called?

In accounting, insolvency is the state of being unable to pay the debts, by a person or company (debtor), at maturity; those in a state of insolvency are said to be insolvent. There are two forms: cash-flow insolvency and balance-sheet insolvency.

What is considered an act of insolvency?

Act of Insolvency means (i) the filing by a Borrower of a petition in bankruptcy or a petition seeking reorganization, liquidation or similar relief, or the filing of any such petition against a Borrower which is not dismissed or stayed within 60 calendar days, (ii) the adjudication of a Borrower as bankrupt or

What term refers to the stealing of funds?

Embezzlement occurs when someone steals or misappropriates money or property from an employer, business partner, or another person who trusted the embezzler with the asset.

When should financial obligations be discussed with the patient?

When is it OK to have financial discussions with patients? A reasonable attempt should be made to have the discussion as early as possible, before a financial obligation is incurred (i.e., before care is provided).

What is the purpose of financial report?

The objective of financial reporting is to track, analyse and report your business income. The purpose of these reports is to examine resource usage, cash flow, business performance and the financial health of the business. This helps you and your investors make informed decisions about how to manage the business.

Why is it important for the medical assistant to convey financial information to clients and when should this information be shared?

The disclosure of financial hardship on the part of the patient also provides critical information for the physician. Uncovering financial concerns has clinical relevance because lack of resources is a common source of noncompliance with prescribed diagnostic and treatment plans.

What step is used when patient payments are later than permitted under the financial policy?

What step is used when patient payments are later than permitted under the financial policy? Step 10, follow up patient payments and collections.

Which of the following reimburses its insured for covered medical expenses?

Which of the following organizations reimburses its insureds for covered medical expenses? Health maintenance organizations. Blue Cross/Blue Shield. … MSAs are also designed to cover routine medical expenses; they are not meant to provide catastrophic coverage.

Who is the guarantor on health insurance?

The person responsible to pay the bill. The guarantor is always the patient unless the patient is an incapacitated adult or an unemancipated minor (under age 18), in which case, the guarantor is the patient’s parent or legal guardian.

What is financially responsible?

Financial responsibly means doing what you have to do to take care of your needs and the needs of your family. To make this happen, your focus should be internal. The neighbors aren’t paying your bills, so their spending habits shouldn’t dictate yours or set the bar for your standard of living.

Which type of health insurance coverage is subsidized by employers and other organizations?

Traditional healthcare coverage subsidized by employers and other organizations (e.g., labor unions, rural and consumer health cooperatives) whereby part or all of premium costs are paid for and/or discounted group rates are offered to eligible individuals.

Which is a typical responsibility of a health insurance specialist?

Health insurance specialists are primarily responsible for utilizing patients’ electronic health records to code medical procedures and examine insurance claims. Health insurance specialists maintain meticulous records of medical costs, adjustments, co-payments, and other billing details.

What is an example of a health policy?

Examples of health-related policies include: Policies prohibiting tobacco and alcohol use at the workplace. Policies requiring healthy foods to be served at company meetings and events. Policies allowing for flextime to exercise or attend health programs.

How do you write a policy?

Your policy should be written clearly and in concise terms. It should not be written in the first or second person but in the third person, e.g. he, she and it. To avoid constant review, do not include any data that might easily get outdated. Select your words very carefully.